경로 탐색(그래프 DFS)
방향그래프가 주어지면 1번 정점에서 N번 정점으로 가는 모든 경로의 가지 수를 출력하는 프 로그램을 작성하세요.
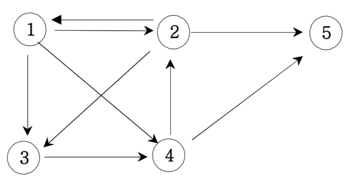
아래 그래프에서 1번 정점에서 5번 정점으로 가는 가지 수는

1 2 3 4 5
1 2 5
1 3 4 2 5
1 3 4 5
1 4 2 5
1 4 5
총 6 가지입니다. 그래프에서 경로란 방문한 노느는 중복해서 방문하지 않습니다.
▣ 입력설명
첫째 줄에는 정점의 수 N(2<=N<=20)와 간선의 수 M가 주어진다. 그 다음부터 M줄에 걸쳐 연 결정보가 주어진다.
▣ 출력설명
총 가지수를 출력한다.
▣ 입력예제 1
5 9
1 2
1 3
1 4
2 1
2 3
2 5
3 4
4 2
4 5
▣ 출력예제 1
6
풀이
def DFS(s):
global cnt
if s==n:
cnt+=1
for c in path:
print(c, end=' ')
print()
else:
for i in range(1,n+1):
if g[s][i]==1 and ch[i]==0:
ch[i]=1
path.append(i)
DFS(i)
path.pop()
ch[i]=0
if __name__=="__main__":
n,m=map(int,input().split())
g=[[0]*(n+1) for _ in range(n+1)]
for i in range(m):
a,b=map(int,input().split())
g[a][b]=1
ch=[0]*(n+1)
ch[1]=1
cnt=0
path=[]
path.append(1)
DFS(1)
print(cnt)
-행렬 생성
g=[[0]*(n+1) for _ in range(n+1)]
for i in range(m):
a,b=map(int,input().split())
g[a][b]=1
이동 가능한 부분을 1로 표시하여 행렬 작성
-체크 리스트 생성-->중복 방지
ch=[0]*(n+1)
ch[1]=1
이미 갔던 노드는 가면 안된다는 조건이 있으므로 체크 리스트를 생성한다
-DFS
else:
for i in range(1,n+1):
if g[s][i]==1 and ch[i]==0:
ch[i]=1
path.append(i)
DFS(i)
path.pop()
ch[i]=0
g[s][i]==1인 경우에 이동이 가능하고 중복되면 안되므로 ch[i]==0일 때 다음 코드들을 처리한다.
path리스트는 이동한 흔적을 담는 리스트이다.
DFS(i)가 실행되고 나서 생긴 값들은 다시 초기화 되어야 하므로
path.pop()
ch[i]=0
두 줄의 코드를 작성한다.
-경로 완결시 (if s==n일 때)
경로의 개수를 세는 것이 문제이므로 cnt에 1을 더하고 코드가 끝났을 때의 cnt값을 출력한다.
| 인접 행렬 python (0) | 2021.08.26 |
|---|---|
| 수들의 조합(DFS) (0) | 2021.08.25 |
| 조합 구하기 (0) | 2021.08.25 |
| 수열 추측하기 (0) | 2021.08.25 |
| 순열 구하기 (0) | 2021.08.25 |
댓글 영역